FREAKOMBINATION
Mix up
Freakombination
HOME
Data Science & Engineering
COMPUTER SCIENCE
ECONOMICS
IT ISSUES
SOCIAL ISSUES
CONNECT+
QT
Kid health
2016년 3월 7일 월요일
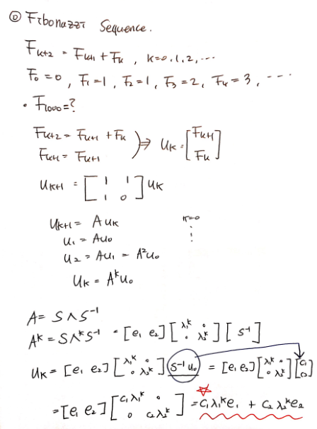
선행대 수학 (18) - 차분방정식, 고유벡터(Difference equation, eigenvector)
댓글 없음:
댓글 쓰기
최근 게시물
이전 게시물
홈
피드 구독하기:
댓글 (Atom)
댓글 없음:
댓글 쓰기